This is my attempt of updating and consolidating the various Jewelry Crafting/Fusing guides that are currently available in the forum already. I intend to keep this as a "guide" only topic, so please post all discussions/feedback/additions/etc in the Jewelry Crafting Guide discussion topic - Thank you.
(This is a "placeholder" post so that Travis don't need to keep on approving future updates, due to the permission setting of the Guides forum.)
(This is a "placeholder" post so that Travis don't need to keep on approving future updates, due to the permission setting of the Guides forum.)





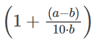
put on one ring, then switch to another, if they are unequal, the relevant statistic data will slightly change.
Comment